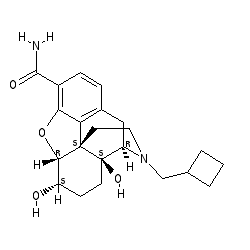
CHEMBL513762
| SMILES | NC(=O)c1ccc2c3c1O[C@H]1[C@@H](O)CC[C@@]4(O)[C@@H](C2)N(CC2CCC2)CC[C@]314 |
| InChIKey | FCWIXGWALZNKAB-PNIWUYDQSA-N |
Chemical properties
| Hydrogen bond acceptors | 5 |
| Hydrogen bond donors | 3 |
| Rotatable bonds | 3 |
| Molecular weight (Da) | 384.2 |
Drug properties
| Molecular type | Small molecule |
| Physiological/Surrogate | Surrogate |
| Approved drug | No |
Database connections
Bioactivities
| Receptor | Activity | Source | |||||||
|---|---|---|---|---|---|---|---|---|---|
| GTP | Uniprot | Species | Family | Class | Type | Min | Avg | Max | Database |
| δ | OPRD | Human | Opioid | A | pKi | 6.82 | 6.82 | 6.82 | ChEMBL |
| κ | OPRK | Human | Opioid | A | pKi | 9.34 | 9.34 | 9.34 | ChEMBL |
| μ | OPRM | Human | Opioid | A | pKi | 8.42 | 8.42 | 8.42 | ChEMBL |
| Receptor | Activity | Source | |||||||
|---|---|---|---|---|---|---|---|---|---|
| GTP | Uniprot | Species | Family | Class | Type | Min | Avg | Max | Database |
| κ | OPRK | Human | Opioid | A | pEC50 | 6.66 | 6.66 | 6.66 | ChEMBL |