CHEMBL2012687
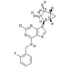
| SMILES | O[C@@H]1[C@H](O)[C@@H]2C[C@@H]2[C@H]1n1cnc2c(NCc3ccccc3F)nc(Cl)nc21 |
| InChIKey | VPBQQBZHAFGKAF-HLXQIYJLSA-N |
Chemical properties
| Hydrogen bond acceptors | 7 |
| Hydrogen bond donors | 3 |
| Rotatable bonds | 4 |
| Molecular weight (Da) | 389.1 |
Drug properties
| Molecular type | Small molecule |
| Physiological/Surrogate | Surrogate |
| Approved drug | No |
Database connections
Bioactivities
| Receptor | Activity | Source | |||||||
|---|---|---|---|---|---|---|---|---|---|
| GTP | Uniprot | Species | Family | Class | Type | Min | Avg | Max | Database |
| A1 | AA1R | Rat | Adenosine | A | pKi | 8.22 | 8.22 | 8.22 | ChEMBL |
| A3 | AA3R | Human | Adenosine | A | pKi | 7.38 | 7.38 | 7.38 | ChEMBL |
| A1 | AA1R | Human | Adenosine | A | pKi | 5.32 | 5.32 | 5.32 | ChEMBL |
| Receptor | Activity | Source | |||||||
|---|---|---|---|---|---|---|---|---|---|
| GTP | Uniprot | Species | Family | Class | Type | Min | Avg | Max | Database |